|
中新网5月11日电 国新办11日上午就第七次全国人口普查主要数据结果举行发布会,国务院第七次全国人口普查领导小组副组长、国家统计局局长宁吉喆在发布会上透露,全国人口共141178万人,与2010年(第六次全国人口普查数据)的133972万人相比,增加7206万人,增长5.38%,年平均增长率为0.53%,比2000年到2010年的年平均增长率0.57%下降0.04个百分点。数据表明,我国人口10年来继续保持低速增长态势。
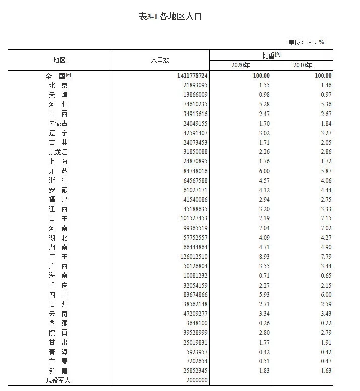
![]() 宁吉喆介绍,根据统计法和《全国人口普查条例》,我国以2020年11月1日零时为标准时点开展了第七次全国人口普查(以下简称七人普),主要目的是全面查清我国人口数量、结构、分布等方面情况,为完善我国人口发展战略和政策体系、制定经济社会发展规划、推动高质量发展提供准确统计信息支持。 七人普全面采用电子化数据采集方式,实时直接上报数据,首次实现普查对象通过扫描二维码进行自主填报,强化部门行政记录和电力、手机等大数据应用,提高了普查工作质量和效率。七人普邀请钟南山、姚明担任宣传大使,“大国点名、没你不行”等宣传口号深入人心,加大了宣传力度。七人普坚持依法进行,认真落实普查方案的各项要求,实行严格的质量控制制度,建立健全普查数据追溯和问责机制,在31个省(自治区、直辖市)中随机抽取141个县的3.2万户进行了事后质量抽查,结果显示,七人普漏登率为0.05%,普查过程严谨规范,普查结果真实可靠。 普查主要数据如下: (一)人口总量。全国人口[注:全国人口是指我国大陆31个省、自治区、直辖市和现役军人的人口,不包括居住在31个省、自治区、直辖市的港澳台居民和外籍人员。]共141178万人,与2010年(第六次全国人口普查数据,下同)的133972万人相比,增加7206万人,增长5.38%,年平均增长率为0.53%,比2000年到2010年的年平均增长率0.57%下降0.04个百分点。数据表明,我国人口10年来继续保持低速增长态势。 (二)户别人口。全国共有家庭户49416万户,家庭户人口为129281万人;集体户2853万户,集体户人口为11897万人。平均每个家庭户的人口为2.62人,比2010年的3.10人减少0.48人。家庭户规模继续缩小,主要是受我国人口流动日趋频繁和住房条件改善年轻人婚后独立居住等因素的影响。 (三)人口地区分布。东部地区人口占39.93%,中部地区占25.83%,西部地区占27.12%,东北地区占6.98%。与2010年相比,东部地区人口所占比重上升2.15个百分点,中部地区下降0.79个百分点,西部地区上升0.22个百分点,东北地区下降1.20个百分点。人口向经济发达区域、城市群进一步集聚。 (四)性别构成。男性人口为72334万人,占51.24%;女性人口为68844万人,占48.76%。总人口性别比(以女性为100,男性对女性的比例)为105.07,与2010年基本持平,略有降低。出生人口性别比为111.3,较2010年下降6.8。我国人口的性别结构持续改善。 (五)年龄构成。0—14岁人口为25338万人,占17.95%;15—59岁人口为89438万人,占63.35%;60岁及以上人口为26402万人,占18.70%(其中,65岁及以上人口为19064万人,占13.50%)。与2010年相比,0—14岁、15—59岁、60岁及以上人口的比重分别上升1.35个百分点、下降6.79个百分点、上升5.44个百分点。我国少儿人口比重回升,生育政策调整取得了积极成效。同时,人口老龄化程度进一步加深,未来一段时期将持续面临人口长期均衡发展的压力。 (六)受教育程度人口。具有大学文化程度的人口为21836万人。与2010年相比,每10万人中具有大学文化程度的由8930人上升为15467人,15岁及以上人口的平均受教育年限由9.08年提高至9.91年,文盲率由4.08%下降为2.67%。受教育状况的持续改善反映了10年来我国大力发展高等教育以及扫除青壮年文盲等措施取得了积极成效,人口素质不断提高。 (七)城乡人口。居住在城镇的人口为90199万人,占63.89%;居住在乡村的人口为50979万人,占36.11%。与2010年相比,城镇人口增加23642万人,乡村人口减少16436万人,城镇人口比重上升14.21个百分点。随着我国新型工业化、信息化和农业现代化的深入发展和农业转移人口市民化政策落实落地,10年来我国新型城镇化进程稳步推进,城镇化建设取得了历史性成就。 (八)流动人口。人户分离人口为49276万人,其中,市辖区内人户分离人口为11694万人,流动人口为37582万人,其中,跨省流动人口为12484万人。与2010年相比,人户分离人口增长88.52%,市辖区内人户分离人口增长192.66%,流动人口增长69.73%。我国经济社会持续发展,为人口的迁移流动创造了条件,人口流动趋势更加明显,流动人口规模进一步扩大。 (九)民族人口。汉族人口为128631万人,占91.11%;各少数民族人口为12547万人,占8.89%。与2010年相比,汉族人口增长4.93%,各少数民族人口增长10.26%,少数民族人口比重上升0.40个百分点。民族人口稳步增长,充分体现了在中国共产党领导下,我国各民族全面发展进步的面貌。 宁吉喆表示,人口问题始终是我国面临的全局性、长期性、战略性问题,七人普全面查清了我国人口数量、结构、分布等方面情况,准确反映了当前人口变化的趋势性特征,获得了大量宝贵的信息资源,国家统计局正在抓紧对普查数据进行整理、分析和开发,后续会采取更多方式公布和共享普查成果,配合相关部门加强人口发展的前瞻性、战略性研究,最大程度发挥普查的作用,为推动高质量发展、有针对性地制定人口相关战略和政策、促进人口长期均衡发展提供强有力的统计信息支持。 国家统计局:中国仍然是世界第一人口大国 国家统计局11日发布第七次全国人口普查主要数据情况,全国人口共141178万人,与2010年(第六次全国人口普查数据)的133972万人相比,增加7206万人,增长5.38%,年平均增长率为0.53%。国务院第七次全国人口普查领导小组副组长、国家统计局局长宁吉喆5月11日在发布会上表示,10年来,我国人口总量持续增长,仍然是世界第一人口大国,人口质量稳步提升。 广东和山东人口超过1亿人 广东为全国人口第一大省 国家统计局11日公布第七次全国人口普查主要数据结果。31个省份中,人口超过1亿人的省份有2个,分别为广东(126012510人)和山东(101527453 人)。在5000万人至1亿人之间的省份有9个,在1000万人至5000万人之间的省份有17个,少于1000万人的省份有3个。 ![]() ![]() 责任编辑:日升 (责任编辑:日升) |





